Con la creciente exposición a la luz azul, la contaminación ambiental y el estrés oxidativo, proteger las células humanas del daño causado por los radicales libres se ha vuelto crucial. Entre todos los antioxidantes naturales, el hidroxitirosol (CAS 10597-60-1) ha atraído la atención científica por su doble poder antioxidante.
En esta publicación de blog, Viablife , un fabricante de líquido de hidroxitirosol de alta pureza, compartirá el mecanismo antioxidante dual del hidroxitirosol antioxidante a la venta y sus efectos sinérgicos estructurales y de vías.
Eficacia antioxidante: validación dual in vitro e in vivo
Estudios in vitro: El hidroxitirosol protege las células del estrés oxidativo de la luz azul
Experimentos celulares simulan una de las fuentes más comunes de estrés oxidativo moderno: la exposición a la luz azul LED. Cuando los queratinocitos y fibroblastos humanos se irradian con luz azul, experimentan un aumento en la producción de especies reactivas de oxígeno (ROS), lo que provoca oxidación celular, degradación del colágeno y fotoenvejecimiento acelerado.

En estos experimentos, el tratamiento con el antioxidante hidroxitirosol suprimió notablemente la sobreproducción de ROS y protegió el colágeno celular de la degradación. La respuesta fue dosis-dependiente: mayores concentraciones de hidroxitirosol se correspondieron con una mayor inhibición de ROS.
Este hallazgo significa que el hidroxitirosol no solo neutraliza los radicales existentes, sino que también previene eficazmente las reacciones oxidativas en cadena causadas por el estrés inducido por la luz. Bajo exposición simulada a luz LED, las células cutáneas tratadas con hidroxitirosol mantuvieron su integridad estructural y resistieron el daño oxidativo, lo que demuestra su gran potencial antioxidante in vitro.
En resumen, el hidroxitirosol actúa como un escudo para las células de la piel y la dermis, combatiendo el daño oxidativo oculto generado por las fuentes de luz digitales cotidianas, un descubrimiento con relevancia directa para el cuidado tópico de la piel y las formulaciones cosméticas que contienen hidroxitirosol líquido.
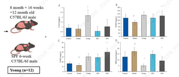
Estudios in vivo: Fortaleciendo las defensas naturales de la piel
Más allá de la placa de Petri, los experimentos con modelos animales proporcionan evidencia convincente *in vivo*. En un modelo de envejecimiento oxidativo de la piel inducido por AGE (productos finales de glicación avanzada), los ratones tratados con hidroxitirosol mostraron una actividad enzimática antioxidante notablemente mejorada.
Los niveles de SOD (superóxido dismutasa) y GSH-Px (glutatión peroxidasa) aumentaron significativamente, mientras que el de MDA (malondialdehído), un marcador de la peroxidación lipídica, disminuyó. Estos resultados indican que el hidroxitirosol no solo actúa directamente como eliminador de radicales, sino que también refuerza el sistema antioxidante interno del organismo.

Esta doble acción redujo el estrés oxidativo en los tejidos y restableció la homeostasis cutánea. En resumen, el hidroxitirosol rejuvenece la capacidad antioxidante desde el interior, lo que confirma su eficacia sistémica in vivo.
En conjunto, los estudios realizados en células y animales confirman que la actividad antioxidante del hidroxitirosol es bioquímicamente poderosa y biológicamente significativa, y constituye la base de sus amplias aplicaciones.
Mecanismo antioxidante interno dual: sinergia entre estructura y vía
Ventaja estructural: el grupo fenólico orto-dihidroxi
El extraordinario rendimiento antioxidante del hidroxitirosol se debe a su estructura orto-dihidroxi (catecol). Esta singular estructura permite al hidroxitirosol donar átomos de hidrógeno eficientemente, interrumpiendo las reacciones en cadena de radicales libres y estabilizando las especies reactivas.
Datos comparativos muestran que los compuestos de tipo catecol con esta estructura tienen una capacidad de eliminación de radicales mucho mayor que aquellos que carecen de ella. En el caso del hidroxitirosol, esto significa que puede neutralizar directamente los radicales hidroxilo, superóxido y peroxinitrito, que se encuentran entre los agentes oxidantes más dañinos en los sistemas biológicos.
Esta ventaja estructural explica su superior supresión *in vitro* de las ROS inducidas por la luz azul. La capacidad de detener los radicales libres en su origen confiere al hidroxitirosol un efecto protector inmediato, constituyendo la primera línea de defensa antioxidante.

Regulación de la vía: activación de la red de defensa celular Nrf2
El segundo mecanismo es celular y adaptativo. El hidroxitirosol no solo elimina radicales, sino que también activa la vía de señalización Nrf2, que orquesta el sistema de defensa antioxidante a largo plazo del organismo.

Tras el tratamiento con hidroxitirosol, Nrf2 (factor nuclear eritroide 2 relacionado con el factor 2) se transloca al núcleo celular y se une a los elementos de respuesta antioxidante (ARE) del ADN. Esta activación desencadena la expresión de enzimas antioxidantes y de desintoxicación, como la SOD, la GPx, la GR (glutatión reductasa) y la GST (glutatión S-transferasa).

Las investigaciones demuestran que, en células tratadas con hidroxitirosol, los niveles nucleares de Nrf2 aumentan mientras que los citosólicos disminuyen, lo que confirma una activación y translocación exitosas. Como resultado, las actividades enzimáticas de GPx, GR y GST se elevan significativamente.
Esta activación de Nrf2 reduce la generación de ROS y mejora la capacidad de la célula para soportar el estrés oxidativo, proporcionando protección antioxidante sostenida incluso después de la exposición inicial a los radicales.
Así, el hidroxitirosol ejerce dos mecanismos complementarios:
1. Neutralización radical inmediata a través de su estructura catecol.
2. Activación antioxidante endógena a través de la señalización de Nrf2.
Esta sinergia (*estructura + vía*) crea una defensa antioxidante robusta y de múltiples capas, a diferencia de la mayoría de los antioxidantes convencionales que dependen de un solo mecanismo.
Calidad científica detrás del hidroxitirosol: perspectivas de proveedores y fabricantes
El abastecimiento confiable es fundamental para convertir los hallazgos de laboratorio en productos eficaces. Viablife, proveedor de hidroxitirosol, es un productor reconocido mundialmente por su tecnología de fermentación de precisión y extracción de base biológica.
Como fabricante de hidroxitirosol, Viablife garantiza una pureza constante, alta estabilidad y estándares de producción trazables en todos los lotes. Su formulación líquida de hidroxitirosol simplifica su integración en sueros para el cuidado de la piel, bebidas nutricionales o suplementos dietéticos sin comprometer su potencia.
Para las marcas o formuladores que buscan hidroxitirosol para la venta, Viablife ofrece no solo materiales a granel, sino también soporte técnico, guía de formulación y documentación regulatoria. Esta transparencia científica facilita la transición entre la investigación y la comercialización, facilitando el desarrollo de productos antioxidantes de última generación con eficacia comprobada.
Del laboratorio a la vida: aplicaciones reales del antioxidante hidroxitirosol
Gracias a su doble validación y mecanismos sinérgicos, el hidroxitirosol se ha convertido en un ingrediente versátil en múltiples sectores:
* Cuidado de la piel y cosméticos: previene el fotoenvejecimiento oxidativo, protege el colágeno y alivia el estrés de la luz azul en formulaciones tópicas.
* Alimentos y bebidas funcionales: el hidroxitirosol líquido fortifica bebidas y suplementos con actividad antioxidante natural.
* Nutracéuticos: apoyan la salud cardiovascular y neurológica a través del control sistémico de ROS.
* Investigación farmacéutica: se está explorando para la inflamación crónica, trastornos metabólicos y neurodegenerativos vinculados al daño oxidativo.
Su capacidad comprobada para restablecer el equilibrio antioxidante tanto externo como interno posiciona al hidroxitirosol como un bioactivo de próxima generación para la protección holística.
Conclusión
Desde ensayos celulares *in vitro* hasta modelos animales *in vivo*, el hidroxitirosol antioxidante demuestra consistentemente su capacidad para combatir el estrés oxidativo, reducir las ROS y mejorar la defensa enzimática. Su doble mecanismo antioxidante —un potente núcleo estructural de eliminación de radicales libres y la activación de la vía de defensa Nrf2— garantiza una protección integral desde el nivel molecular hasta el sistémico.
Respaldado por la investigación y producido con precisión por el proveedor de hidroxitirosol Viablife, este compuesto natural ejemplifica cómo la biotecnología moderna y la comprensión molecular convergen para brindar beneficios tangibles para la salud y la belleza.
Ya sea en el cuidado de la piel, la nutrición o en fórmulas avanzadas de bienestar, el hidroxitirosol es un referente para el futuro de los antioxidantes bioactivos: científicamente probados, estructuralmente potentes y biológicamente inteligentes.
Chino
Estados Unidos
España
Ruso
Francia
Alemania
Italiano
Japón
Arábica
Portugués
Coreano
Tailandés
Griego
India




Leave a Message